열역학의 두 가지 응용분야는 동력발생과 냉동분야 이다.
이때 동력을 발생하는 기관은
동력을 발생시키는 장치나 시스템이고, 기관이 작동하는 열역학적 사이클을 동력사이클이라고 한다.
동력사이클에 들어가기 전에 선행되어야 할 지식을 미리 알아보자.
1. 이상사이클 (ideal cycle)
실제 사이클은 마찰과 같은 비가역성이 존재한다.
하지만 모든 내적 비가역성과 복합성을 제거하면, 실제 사이클과 매우 유사하지만
모든 내적 가역 과정으로 구성되는 사이클을 얻게 되는데,
이러한 사이클을 이상사이클이라 부른다.
이상 사이클을 사용하는 이유는 실제 사이클보다 해석하기 쉽고,
실제 사이클의 열 효율과 비교할 수 있기 때문이다.
이상 사이클은 다음의 특징을 갖는다.
1) 어떠한 마찰도 없다.
즉 작동유체가 관 또는 열 교환기와 같은 장치를 통과할때 마찰이 없으므로 압력강하도 없다.
2) 모든 압축과 팽창 과정은 준평형 과정으로 진행된다.
그러므로 불균형이 없다.
3) 시스템의 여러 구성품을 연결하는 관은 단열되어 있다.
그러므로 어떠한 열전달도 무시할 수 있다.
2. 공기표준 가정
2) 사이클을 구성하는 모든 과정은 내적가역이다.
3) 연소과정은 외부 열원에 의한 가열과정으로 대체된다.
4) 배기과정은 작동유체가 초기 상태로 복원되는 방열과정으로 대체된다.
3. 왕복기관의 개요
![]() |
상사점(TDC, Top Dead Center) : 실린더의 체적이 최소가 되는 피스톤 위치
하사점(BDC, Bottom Dead Center) : 실린더 체적이 최대가 되는 피스톤 위치
행정(L, stroke) : 상사점과 하사점 사이의 거리. 피스톤이 한 방향으로 움직일 수 있는 최대 거리
보어(B, bore) : 피스톤 직경
간극 체적(Vc, clearence volume) : 피스톤이 상사점에 있을 때의 실린더 체적, 실린더 최소 체적
배기량(Vd, displacement volume) : 상사점과 하사점 사이의 체적, 피스톤의 움직임에 의해 밀어낸 실린더 체적 |
동력사이클 기본 개요에 대해 알아보았다.
동력 사이클은 기체동력 사이클과 증기동력 사이클로 구분할 수 있는데,
기체동력 사이클이란 전체 사이클에서 작동 유체가 기체 상태를 유지하는 사이클이고,
증기동력 사이클이란 작동 유체가 사이클의 일부 과정에서는 증기 상태로
다른 과정에서는 액체 상태로 존재하는 사이클이다.
증기동력 사이클부터 알아보자.
4. 오토사이클
오토사이클은 왕복기관의 이상 사이클이다.
대부분의 왕복 기관을 4행정 내연기관이라 부르는데,
피스톤은 실린더 내에서 4번의 행정을 실행하고, 열 역학적 사이클마다 크랭크축은 2회전 한다.

1) 초기에 흡기와 배기 밸브는 모두 닫혀있고 피스톤은 하사점에 위치해있다.
압축행정동안 공기와 연료 혼합기를 압축하면서 피스톤은 상사점을 향해 이동한다.
2) 피스톤이 상사점에 도착하기 직전에 점화플러그에서 스파크로 인해 혼합기가 점화되고,
자연스레 기체의 압력과 온도는 올라간다.
3) 팽창과정 동안 고압의 기체는 피스톤을 하사점으로 이동시키면서 크랭크축을 회전시키면서
유용한 출력일을 발생시킨다.
4) 크랭크축 회전으로 인해 피스톤이 다시 상승하면서
배기가스를 배기 밸브를 통해 배출하고, 다시 아래로 이동하면서 혼합기를 흡기 밸브를 통해 유입한다.
5) 오토사이클은 위와 같이 네개의 내적가역과정으로 구성되어 있다.

비가역요소를 포함한 pv선도는 위와 같이 표현되고,
비가역요소를 제거한 가역과정은

위와 같이 표현된다.
PV선도와 TS선도로 오토사이클 각 과정에 대해 알아보자.

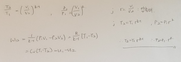
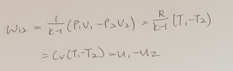
1 -> 2 : 단열 압축 (reversible adiabatic compression, isentropic compression)

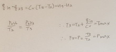
2 -> 3 : 정적 가열(연소) (const.‐vol. heat addition)

3 -> 4 : 단열 팽창 (reversible adiabatic expansion, isentropic expansion)

4 -> 1 : 정적 방열 (const.‐vol heat rejection)

마지막으로 열 효율은

이 된다. 다음에는 디젤사이클에 대해 알아보자.
번외로 단열 압축과정에서


이 나오는 이유는


이기 때문이다.
'전공 > 열역학' 카테고리의 다른 글
| 열역학 #12 기체동력사이클 (오토사이클, 디젤사이클, 브레이튼 사이클)3 (0) | 2020.10.13 |
|---|---|
| 열역학 #12 기체동력사이클 (오토사이클, 디젤사이클, 브레이튼 사이클)2 (0) | 2020.09.21 |
| 열역학 #10 카르노 기관 (1) | 2020.08.24 |
| 열역학 #9 가역과정, 비가역과정 (0) | 2020.08.24 |
| 열역학 #8 가역단열과정 (0) | 2020.08.24 |
