디젤 사이클
4행정 저속 CI(디젤) 엔진 공기 표준 열역학적 이상 사이클이다.
정압 사이클이라고도 불리우며
단열 압축, 정압 가열, 단열 팽창 및 정적 방열 과정으로 이루어졌다.
저속 디젤 엔진에서는 착화 지연과 연료를 분사하기 위해 요구되는 시간 때문에
연료의 분사는 압축행정에서 팽창 행정까지 지속되고,
연소 압력은 상사점을 지나 일정 수준의 압력이 유지된다.
CI엔진은 SI(가솔린)엔진과는 달리 자연발화의 가능성이 낮으므로 최대 압축비를 높일 수 있는데,
같은 압축비에 대해서는 SI엔진이 효율적이지만, 최대 압축비에 대해서는 CI엔진이 효율적이다.

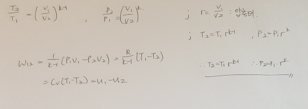
1 -> 2 : 가역단열 압축 (reversible adiabatic compression, isentropic compression)

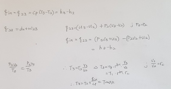
2 -> 3 : 정압 가열(연소) (const.‐pr. heat addition)

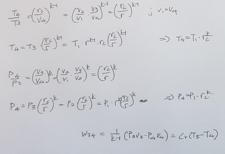
3 -> 4 : 가역단열 팽창 (reversible adiabatic expansion, isentropic expansion)

4 -> 1 : 정적 방열 (const.‐vol heat rejection)

이 된다.
열 효율은

이 된다.
'전공 > 열역학' 카테고리의 다른 글
| 열역학 #12 기체동력사이클 (오토사이클, 디젤사이클, 브레이튼 사이클)3 (0) | 2020.10.13 |
|---|---|
| 열역학 #11 기체동력사이클 (오토사이클, 디젤사이클, 브레이튼 사이클)1 (0) | 2020.09.20 |
| 열역학 #10 카르노 기관 (1) | 2020.08.24 |
| 열역학 #9 가역과정, 비가역과정 (0) | 2020.08.24 |
| 열역학 #8 가역단열과정 (0) | 2020.08.24 |